Stavy a průtoky
|
Nádrže
|
Srážky
|
Jakost
Poslední aktualizace stránek
04.04.2026 07:20
Monitorovací stanice (tok - stanice)
Albrechtický potok - Mlýnice
Bělá - Častolovice
Bělá - Jedlová v Orlických horách
Bělá - Skuhrov
Bystřice - Rohoznice
Chrudimka - Hamry
Chrudimka - Lány
Chrudimka - Mezisvětí
Chrudimka - Nemošice
Chrudimka - Padrty
Chrudimka - Přemilov
Chrudimka - Svídnice
Cidlina - Chlumec nad Cidlinou
Cidlina - Jičín
Cidlina - Nový Bydžov
Cidlina - Sány
Černá Desná - Desná - Jezdecká
Černá Desná - Souš
Černá Nisa - Rudolfov
Černá Nisa - Uhlířská
Čistá - Hostinné
Dědina - Chábory
Dědina - Mitrov
Dědina - Žákovec
Divoká Orlice - Klášterec nad Orlicí
Divoká Orlice - Kostelec nad Orlicí
Divoká Orlice - Litice
Divoká Orlice - Nekoř
Divoká Orlice - Orlické Záhoří
Doubrava - Bílek ČHMÚ
Doubrava - Pařížov
Doubrava - Spačice
Doubrava - Žleby
Dřevíč - Velký Dřevíč
Fojtka - Fojtka
Harcovský potok - Harcov odtok
Harcovský potok - Harcov přítok
Javorka - Lázně Bělohrad
Jeřice - Mníšek
Jizera - Bakov
Jizera - Dolní Sytová
Jizera - Jablonec nad Jizerou
Jizera - Předměřice
Jizera - Turnov
Jizera - Železný Brod
Jizerka - Dolní Štěpanice
Kalenský potok - Dolní Olešnice
Kamenice - Josefův Důl
Kamenice - Kristiánov
Kamenice - Plavy
Klenice - Březno
Kněžná - Rychnov nad Kněžnou
Krounka - Otradov
Labe - Brandýs nad Labem
Labe - Děčín
Labe - Hostinné
Labe - Hradec Králové - soutok
Labe - Jaroměř
Labe - Kostelec nad Labem
Labe - Labská
Labe - Les Království
Labe - Litoměřice
Labe - Mělník
Labe - Němčice
Labe - Nymburk
Labe - Opatovice nad Labem
Labe - Přelouč
Labe - Stanovice
Labe - Střekov
Labe - Špindlerův Mlýn
Labe - Ústí nad Labem
Labe - Vestřev
Ležák - Zaječice
Loučná - Cerekvice nad Loučnou
Loučná - Dašice
Loučná - Litomyšl
Lužická Nisa - Hrádek nad Nisou
Lužická Nisa - Liberec
Lužická Nisa - Proseč nad Nisou
Malé Labe - Horní Lánov
Malé Labe - Prosečné
Metuje - Hronov
Metuje - Jaroměř
Metuje - Krčín
Metuje - Maršov nad Metují
Mohelka - Chocnějovice
Mrlina - Vestec
Mšenský potok - Mšeno
Mumlava - Janov-Harrachov
Novohradka - Luže
Novohradka - Úhřetice
Ohře - Louny
Olešenka - Peklo
Oleška - Frýdlant - Dětřichov
Oleška - Semily - Slaná
Orlice - Hradec Králové - Orlice
Orlice - Týniště nad Orlicí
Pilníkovský potok - Chotěvice
Rokytenka - Žamberk
Rozkošský potok - Rozkoš odtok
Řasnice - Frýdlant - Řasnice
Smědá - Bílý Potok
Smědá - Frýdlant
Smědá - Předlánce
Stěnava - Meziměstí
Stěnava - Otovice
Šembera - Český Brod
Štítarský potok - Svídnice
Tichá Orlice - Čermná nad Orlicí
Tichá Orlice - Dolní Libchavy
Tichá Orlice - Lichkov
Tichá Orlice - Sobkovice
Třebovka - Třebovice
Třebovka - Ústí nad Orlicí
Úpa - Horní Maršov
Úpa - Horní Staré Město
Úpa - Slatina nad Úpou
Úpa - Zlíč
Vlkava - Všejany
Vltava - Vraňany
Vrchlice - Malešov
Vrchlice - Vrchlice
Výrovka - Plaňany
Zdobnice - Slatina nad Zdobnicí
Celková mapa povodí
|
Přehled měření
|
Hydrologická situace
|
Výstraha
Zobrazení:
Stavy a průtoky
UPOZORNĚNÍ: Veškerá uváděná data jsou bez záruky.
04.04.2026 07:24:46
Stanice
Český Brod
Tok
Šembera
Povodně
1. stupeň povodňové aktivity
90
[cm]
2. stupeň povodňové aktivity
120
[cm]
3. stupeň povodňové aktivity
150
[cm]
3. stupeň povodňové aktivity
(
extrémní povodeň
)
(Q
50
)
—
[cm]
Poznámka
Hladina může být pod úrovní nuly vodočtu.
nízké průtoky
Q
355
:
0,014
[m
3
.s
-1
]
N-leté průtoky
[m
3
.s
-1
]
Q
1
Q
2
Q
5
Q
10
Q
20
Q
50
Q
100
2,600
4,600
8,100
11,50
16,00
22,70
29,00
Historické povodně (3 nejvyšší zaznamenané po dobu pozorování)
—
—
[m
3
.s
-1
]
N ~
—
—
[m
3
.s
-1
]
N ~
—
—
[m
3
.s
-1
]
N ~
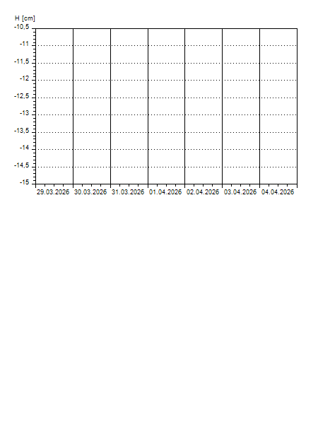
H
[cm]
Q
[m
3
.s
-1
]
Q
N
04.04.2026 07:00
-13
04.04.2026 06:00
-13
04.04.2026 05:00
-13
04.04.2026 04:00
-13
04.04.2026 03:00
-13
04.04.2026 02:00
-13
04.04.2026 01:00
-13
04.04.2026 00:00
-13
03.04.2026 23:00
-13
03.04.2026 22:00
-13
03.04.2026 21:00
-13
03.04.2026 20:00
-13
03.04.2026 19:00
-13
03.04.2026 18:00
-13
03.04.2026 17:00
-13
03.04.2026 16:00
-13
03.04.2026 15:00
-13
03.04.2026 14:00
-13
03.04.2026 13:00
-13
03.04.2026 12:00
-13
03.04.2026 11:00
-13
03.04.2026 10:00
-13
03.04.2026 09:00
-13
03.04.2026 08:00
-13
03.04.2026 07:00
-13
02.04.2026 07:00
-13
01.04.2026 07:00
-12
31.03.2026 07:00
-12
30.03.2026 07:00
-12
29.03.2026 07:00
-11
H —
Vodní stav
Q —
Průtok
Q
N
—
N-leté průtoky
Tyto informace jsou dostupné i přes aplikaci pro mobilní telefony s OS Android -
Stavy a průtoky
Povodí Labe
, státní podnik
©
2026
Systém využívá i data z měřících stanic
Českého hydrometeorologického ústavu ©
2026
Aplikace vyrobena firmou
MGE Data s.r.o. © 1996 -
2020