Stavy a průtoky  |  Nádrže  |  Srážky  |  Jakost Poslední aktualizace stránek 04.04.2026 07:25
             
Stavy a průtoky UPOZORNĚNÍ: Veškerá uváděná data jsou bez záruky. 04.04.2026 07:25:54
 Stanice  Nekoř  Tok  Divoká Orlice
Povodně
1. stupeň povodňové aktivity  1. stupeň povodňové aktivity  110[cm]
2. stupeň povodňové aktivity  2. stupeň povodňové aktivity  130[cm]
3. stupeň povodňové aktivity  3. stupeň povodňové aktivity  145[cm]
extrémní povodeň  3. stupeň povodňové aktivity  (!extrémní povodeň) (Q50)271[cm]
PoznámkaStanice v rekonstrukci. Hodnota VS a Q odvozena od odtoku z VD Pastviny.
nízké průtoky
nízké průtoky Q355:0,801 [m3.s-1]
N-leté průtoky [m3.s-1]
Q1Q2Q5Q10Q20Q50Q100
35,8049,3073,5096,70124,0168,0207,0
 Historické povodně (3 nejvyšší zaznamenané po dobu pozorování)
09.03.2000170,0 [m3.s-1] N ~100
09.02.1946150,0 [m3.s-1] N ~50-100
08.07.1997113,0 [m3.s-1] N ~20
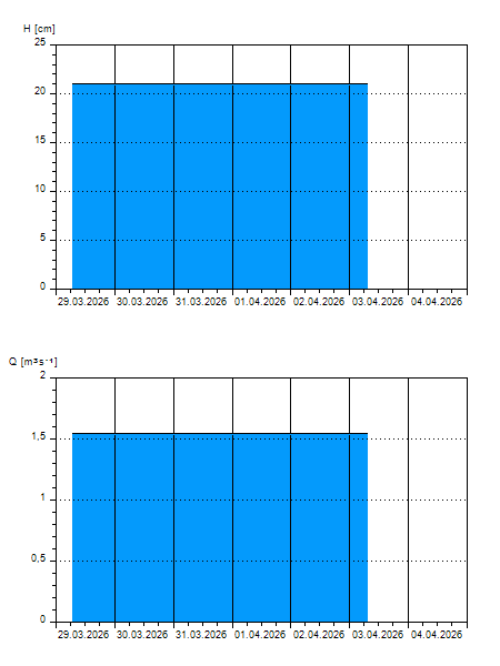
Graf
  H [cm]
Q [m3.s-1]
QN
03.04.2026 07:00 21 1,548
02.04.2026 07:00 21 1,548
01.04.2026 07:00 21 1,548
31.03.2026 07:00 21 1,548
30.03.2026 07:00 21 1,548
29.03.2026 07:00 21 1,548
H — Vodní stav
Q — Průtok
QNN-leté průtoky
 Příčný profil
Přícný profil
Tyto informace jsou dostupné i přes aplikaci pro mobilní telefony s OS Android -  Stavy a průtoky
  Povodí Labe, státní podnik © 2026 Systém využívá i data z měřících stanic   Českého hydrometeorologického ústavu © 2026 Aplikace vyrobena firmou   MGE Data s.r.o. © 1996 - 2020